Página Principal

HERÁLDICA

ÍNDICE DE ÁRBOLES
Completo
Agustín Quintana
Ambrosia y Gabino Quintana
Ángel Antón y Secundina
Antonia Calzadilla y Juan Quintana
Avelina
Benancio González y Librada
Bernardo Seoane y Eusebia Miguélez
???? Calzadilla
Castor
Daniel Miguelez y Regina
Demetrio y Florentina Calzadilla
Demetrio y Sabina
Desiderio Antolinez y Felipa Villacorta
Doroteo Nicolás y Martina González
Emiliano y Máxima
Erasmo Díaz y Felisa Seoane
Esteban Calvo y Bernardina
Esteban Calzadilla y Marcelina
Francisco Nicolás
Feliciano Quintana y Saturnina
Francisca Alonso
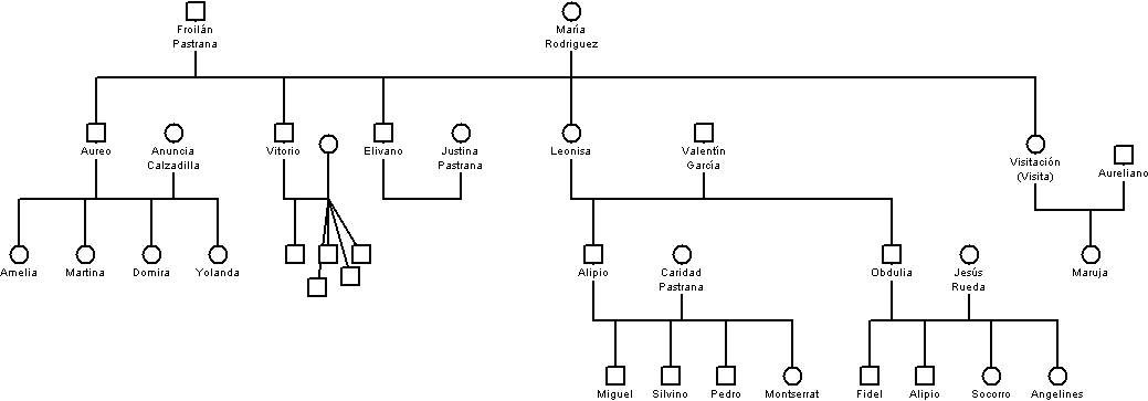
Froilán Pastrana y María Rodriguez
José Quintana y María Urdiales
Juan Pastrana y Gregoria
Nemesio Rodriguez y Constantina Mencía
Nicolás Rivero y Benedicta de Prado
Pedro Pastrana y ??? Paniagua
Pedro Pastrana y Petra Pastrana
???? Quintana y Juana
Salvador
Tirso Huerta y Vitoria
Vitoriano Pastrana y Teodora Mencía


ÍNDICE DE FAMILIAS
Abundio y Leonor
Agustín Quintana y Esposa
Albino y Encarnación (Encarna)
Alejandro y Martina Pastrana
Alejandro (Jandri) y Loli
Alfonso y Bernarda Barreñada
Alipio García y Caridad
Alipio y Caridad Pastrana
Ambrosia y Gabino Quintana
Andrés y Eva
Ángel Antón y Secundina
Ángel y Fortunata
Ángel (Angelín) y Mª Sol
Antonio y Aurora
Antonio y Aurora González
Antonio y Esposa
Arturo González y Felisa
Ascensión y Mateo
Aureliano y Esposa
Aurelio y Plácida Quintana
Aurelio y Plácida
Aureo y Anuncia Calzadilla
Baldomero Madrigal y María
Benancio González y Librada ????
Benancio y Trinidad Molleda
Benino y Emilia
Bernardo Seoane y Eusebia Miguélez
Bernardo y Tellina
Braulio García y Manuela (Manolita)
Bruno y Anuncia
Carlos Achútegui y Rosa (Rosi)
Carlos De la Varga y Begoña
Castor y Esposa
Cecilio y Trinidad Molleda
Celestino y Crucina
Celestino y María Tomé
César Tejerina y Benita
Cipriano Corral y Maura
Cipriano y Elena
Cleto y Leonila
Dámaso Quintana y Dorina
Daniel Miguelez y Regina
Daniel y Angelina
Daniel y Jorana???
Daniel y Esposa
Demetrio y Florentina Calzadilla
Demetrio y Sabina
Demetrio y Esposa
Desiderio Antolínez y Felipa Villacorta
Dionisio Pastrana y Petra
Doroteo Nicolás y Martina Gonzalez
Doroteo Nicolás y Martina
Eduardo y Josefa (Pepi)
Efrén y Concepción (Conce) Tomé
Eleuterio Pastrana y Mª Pilar
Eliseo y Paulina
Elivano y Justina Pastrana
Elivano y Justina
Emidio y Severina Chico
Emiliano Molleda y Silvina
Emiliano y Juliana Antón
Emiliano y Máxima
Enrique y Isabel
Eraclio Barreñada y Feliciana
Erasmo Díaz y Felisa Seoane
Erasmo y Fortunata Barreñada
Esteban Calvo y Bernardina
Esteban Calzadilla y Marcelina
Eulogio y Sinda Fernández
Eutimio y Angelina Molleda
Faustino y Florencia De Prado
Fausto y Lucila
Feliciano y Esposa
Felipe Antolinez y Ambrosia
Felipe Castaño y Consuelo
Felipe (Felipín) y Prásedes
Felipe (Felipón) y Ascensión Pastrana
Fermín y Laurentina
Fermín y Tomasa
Fernando Huerta y Erminia
Fernando Sandoval y Gloria
Fernando y Esposa
Fidel y Esposa
Florencia y Faustino
Florencio y Pilar
Florencio (Floro) y Cristina
Flugencio Quintana y Agripina González
Flugencio y Lucía
Fortunato y Elisa Nicolás
Francisco Nicolás y Esposa
Francisco y Secundina Antón
Francisco (Paco) Bajo y Amor
Franco y Esposa
Fredes y Esposa
Froilán Pastrana y María Rodriguez
Froilan y Luci
Gabino y Sagrario
Gabriel Pastrana y Trinidad
Gabriel y Clotilde (Gloria)
Gaudencio y Leonides Prado
Germán y Dolores
Germán y Esposa
Gregorio y Iluminada
Guillermo Pastrana y Gregoria
Hipólito (¿Hermano Ramiro?) y Modesta
Ignacio y Antonina
Indalencio Quintana y Francisca Alonso
Isaías y Esperanza
Isidoro y Juana Quintana
Isidoro y Pilar Rodriguez
Isidro y Ana Mari
Jaime y Raquel
Javier y Esposa
Javier y Esposa
Javier (Javi) y Begoña
Javier (Javi) y Milagros
Javier (Javi) y Montse
Jesús Torres y Eutiquia
Jesús y Concepción (Conce) Quintana
Jesús y Dori
Jesús y Esposa
Jesús y Esposa
Jesús (Chuchi) y Inés (Nesi)
Joaquín y Isidra
Jorge y Elvira
José Quintana y María Urdiales
José (Pepe) y Mª Rosa Piñeiro
José (Pepe) y Esposa
José Ángel y Esposa
José Felix Antolinez y Mª Pilar (Pili)
José Luis y Esposa
José María y Esperanza Carvajal
Juan Quintana y Antonia Calzadilla
Juan y Justa
Juan y Teófenes Pastrana
Juan (Juanito) Pastrana y Gregoria
Juan Manuel y Camino
Juanito y Esposa
Julio y Albina Quintana
Juventino y Manolita Quintana Hoyo
Juventino y Manolita
Lauden y Estefanía
Leoncio Quintana y Algeciras
Lorenzo Calzadilla y Dionisia
Luciano Barreñada y Agustina
Luis y Esposa
Luis (Lis) y Milagros (Mila)
Luis (Palín) y Anita
Luis Miguel y Amelia
Manuel Arias y Carmen
Manuel Rojo y Esposa
Manuel y Eutiquia
Marciano Nicolás y Benedicta
Marciano y Benedicta
Margarita y Jesús Rueda
Mariano Calzadilla y Saturnina
Mariano Molleda y Ángeles
Mariano y Gregoria
Mario y Esposa
Máxima y Florencio Barreñada
Maximino Martinez y Francisca
Miguel y Juliana (Juli)
Miguel y Mª Belén (Mª Bel)
Miguel y Esposa
Millán y Esposa
Nazario y Justina Mencía
Nemesio Rodriguez y Constantina Mencía
Nicolás Rivero y Benedicta de Prado
Nicolás y Petra Rivero
Nicolás (Colás) y Antonina
Nicolás (Colasín) y Esposa
Obdulia y Jesús Rueda
Orestes y Marta (Martita)
Oscar y Soledad (Sole)
Pablo Quintana y Aurelia Pastrana
Paco Huerta y Antonia (Toñita)
Paulino Grañeras y Rosario
Pedro Pastrana y ???? Paniagua
Pedro Pastrana y Petra Pastrana
Pedro y Carmen
Pedro y Esposa
Policarpo (Poli) y Josefa (Pepa)
Rafael Quintana y Felicidad
Rafael y Feli
Rafael (Rafa) y Esposa
Rafael (Rafa) y Esposa
Ramiro y Petra Nicolás Barreñada
Ramiro y Petra
Ramón Rodriguez y Pilar Rodriguez
Raúl y Felicidad (Feli)
Ricardo y Ángeles (Angelines) Natal
Salus y Berna
Salustriano (Salus) y Trinidad (Trini)
Salustriano (Salus) y Trinidad (Trini)
Salustriano (Salus) y Esposa
Salvador Antón y Teresa
Salvador y María Quintana
Salvador y Teresa
Saturnina y Feliciano Quintana
Sebastián y Emeteria ????
Severio y Teodomira Pastrana
Silvino y Lina
Silvino y Mª Jesús
Tasio y Loren
Teodoro y Mónica
Teodoro y Esposa
Teodosio y Esposa
Teófilo Mencía y Basilia
Tirso Huerta y Vitoria
Tirso Quintana y Emiliana Corral
Tomás Quintana y Celestina
Tomás y Esposa
Tomasa y Pedro Rivero
Tori y Esposa
Valentín García y Leonisa
Vicente Cerezal y Lucila Quintana
Vicente de Ávila y Marcelina Calzadilla
Vicente y Consuelo
Victorio Fernández y Reolindes Quintana
Vidal Molleda y Eulalia
Vidal y Esposa
Vitoriano Nicolás y Juliana Barreñada
Vitoriano Pastrana y Teodora Mencía
Vitorina y Florentino
Vitorina y Esposa
Vitorina y Esposa
Vitorino y Blanca Ares
Vitorio y Esposa
Zósimo Álvarez y Luz
¿Pedro???? y Esposa
¿¿Hermano Silvino??? y Julia
Calzadilla y Esposa
Guerra y Mercedes
Mencía y Esposa
Quintana y Juana
Ángela (Angelita) y Esposo
Avelina y Esposo
Begoña y Esposo
Blanca y Esposo
Camino y Esposo
Dori y Esposo
Emilia y Esposo
Encarnación (Encarnita) y Esposo
Fernanda???? y Esposo
Gema y Esposo
Juana (Juanita) y Esposo
Lourdes y Esposo
Luisa y Esposo
Luisa y Esposo
Mª Isabel y Esposo
Mª Pilar (Pili) y Esposo
Mª Sol y Esposo
Margarita y Esposo
Maribel y Esposo
Marisa y Esposo
Maruja y Esposo
Marujina y Esposo
Montse y Esposo
Natividad (Nati) y Esposo
Pacita y Esposo
Paula y Esposo
Purificación (Puri) y Esposo
Ramona y Esposo
Tanislada y Esposo
Tarsi y Esposo
Tasina y Esposo
Visi y Esposo

 

Página Principal